Connectez-vous S'inscrire
Tunisie Secret

 

Rejoignez TunisieSecret sur facebook

| TS Via TunisieSecret


Exclusif : Ennahdha compte sur une boite de communication américaine pour gagner les élections


29 Septembre 2014

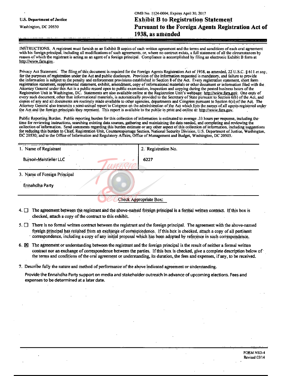
Pour gagner les prochaines élections tunisiennes, Ennahdha s’offre les services de la plus grande boite de communication américaine, la Burson-Marsteller LLC. Le contrat entre ce géant de la communication et du marketing politique, et le parti Ennahdha a été signé le 18 septembre 2014. Coût d'une prestation de 45 jours, 18 millions de dollars !


A gauche, "cheikh" Rached Ghannouchi, et à droite Hamadi Jebali dans les bras de son "frère" Joe McCain.
A gauche, "cheikh" Rached Ghannouchi, et à droite Hamadi Jebali dans les bras de son "frère" Joe McCain.
C’est ce qui ressort du document dont Tunisie-Secret a pu obtenir une copie (voir ci-dessous) et qui est l’acte d’accord entre le prestataire américain et le bénéficiaire islamiste. Conformément à la législation américaine en matière contractuelle, cet acte d’accord entre la Burson-Marsteller et le parti Ennahdha a été enregistré au Département de Justice américain le 18 septembre 2014, sous le No de 6227.

Le nom du manager qui représente Ennahdha est Ifhat Shaheen Smith, activiste islamiste basé à Londres. Celui de la représentante de la Burson-Marsteller est Sharon Balkam. Alors que le nom du bénéficiaire, Ennahdha, est clairement indiqué dans le contrat, l’adresse n’est cependant pas celle de Montplaisir à Tunis mais le 55 Bryanston Street, Marble Arch Tower, London !

Ce qui n’est pas en revanche mentionné dans cet acte, c’est le montant de la transaction : 18 millions de dollars, pour une mission en communication et en propagande de 45 jours. Pour le payeur, nous avons reçu deux informations différentes. La première indique que c’est sur le compte personnel de Rached Ghannouchi qu’a été prélevé ce montant. Et la seconde atteste que les 18 millions de dollars ont été réglé par Hamad Bin Jassim al-Thani, le Frère musulman qatari qui était le numéro deux du régime oligarchique et qui vit depuis son limogeage entre Londres et Doha.

Toujours d’après les indications portées dans ce document, la mission de la Burson-marsteller consiste à fournir au parti Ennahdha « un support média et un conseil et contribution aux activités d’Ennahdha sur le terrain, durant les élections tunisiennes». Autrement dit, assurer pour Ennahdha une couverture médiatique à l’extérieur et à l’intérieur de la Tunisie, et assister ses militants dans leurs différentes activités pré-électorales et jusqu’au jour du scrutin.

La cerise sur le gâteau que nous avons voulu laisser à la fin de cet article est que l’un des principaux actionnaires de la Burson-Marsteller n’est autre que Joseph Lieberman, juif orthodoxe connu pour son fanatisme sioniste, ancien sénateur américain et ancien candidat démocrate à la vice-présidence des Etats-Unis en 2000. C’était aussi un faucon parmi les faucons, qui appelait à une guerre totale contre l’Irak et, depuis trois ans, contre la Syrie.

Les Tunisiens ont découvert Joseph Lieberman après leur « révolution » de la « dignité ». Lieberman était venu féliciter les Tunisiens et assurer les mercenaires de la troïka du soutien du gouvernement américain. Sa première visite en Tunisie, il l’avait effectué en compagnie d’un autre grand « ami » du monde arabe et « adorateur » de l’islam, le sénateur néoconservateurs, Joe McCain. Lors de sa conférence de presse tenue à Tunis le 29 décembre 20111, avant de s’envoler pour Tel Aviv, Joseph Lieberman a déclaré qu’en tant que « visiteur ami je ne peux qu’être impressionné par la stabilité du pays, le travail du gouvernement par intérim, la tenue d’élections crédibles et la constitution d’une coalition courageuse aux commandes du gouvernement ».

A la suite de sa rencontre « fraternelle » avec « cheikh » Rached Ghannouchi puis avec Hamad Jebali en décembre 2011, ce grand défenseur du « printemps arabe » a déclaré que « l’islamisme politique n’est pas ce que nous pensions » et qu’il existe un « large spectre qui ne contient pas que des fanatiques » !

Si aujourd’hui on ne compte plus le nombre d’organisations islamo-terroriste que compte ce « large spectre », on arrive encore à compter le nombre de mercenaires et d’affairistes véreux qui ne jurent que par Allah (God) …et par le dollar. Une association qui est au fondement même de la « civilisation » américaine !

Nebil Ben Yahmed  

Ennahda1
  • Ennahda1
  • Ennahda2
  • Ennahda3
  • Ennahda4


           


1.Posté par kimdee le 29/09/2014 18:19
la pourriture sioniste qui a trouvé ses "amis" pourris chez nous.

2.Posté par JOHN WAYNE le 30/09/2014 06:44
TUNISIENS, TUNISIENNES, VOTER SIGNIFIE QUE VOUS VOTEZ POUR LE QATAR ET POUR ISRAEL !

Tunisiens, Tunisiennes !
Votre pays a perdu sa souveraineté depuis le 14 Janvier 2011 !
Le Président Ben Ali victime d’un coup d’état fomenté par la CIA a été poussé à l’exil sous la menace des blindés, laissant la Tunisie dans une situation de vide sécuritaire et politique qui a été propice à l’ascension vertigineuse de l’islamisme.
Aujourd’hui les islamistes Tunisiens financés par le Qatar et l’Arabie Saoudite ont infiltré toutes les structures de la Tunisie moderne et Républicaine et planifient son effondrement progressif vers une théocratie qui sera irréversible.
Tunisiens, Tunisiennes, les islamistes sont vos ennemis et leurs armes sont les pétrodollars du Qatar et de l’Arabie Saoudite, les cerveaux de la CIA et leurs idéologues sionistes, et l’arme de la « démocratie » du printemps Arabe.
Votre seul moyen de les combattre et de saboter le processus démocratique ce qui les mènera a une victoire électorale n’ayant aucune assise populaire et dont le score électoral vainqueur sera considéré comme virtuel en Tunisie et dans le monde.
Les islamistes boycottés lors d’élections obtiendront un score virtuel ne leur permettant plus de gouverner ou de nuire à la Nation.
Tunisiens, Tunisiennes, réfléchissez et ne soyez pas dupes !
Pourquoi le Qatar va-t-il viré des millions de dollars dans des comptes à Londres d’islamistes Tunisiens quand ce pays finance aussi les mouvements Djihadistes le plus cruels qui commettent ouvertement des exactions et des génocides ?
Si le Qatar finance les islamistes Tunisiens c’est bien pour établir un jour en Tunisie une théocratie qui elle aussi sera cruelle et arriérée et qui servira de zone tampon idéologiquement loyale aux régimes arriérés de la Péninsule Arabique qui comptent s’accrocher au pouvoir sur des siècles à venir.
Pourquoi Israël et ses cerveaux sionistes comme Joe Liebermann soutiennent-t-ils les islamistes en Tunisie?
Israël utilise l’islamisme pour maintenir le monde Arabe dans un état de pre-revolution industrielle et de mentalité arriérée qui ne peut que déboucher sur des guerres intertribales qui anéantiront ce même monde Arabe, ce qui permettra à Israël de s’étendre en superpuissance du Moyen-Orient.
Pensez à la Libye et a son « sauveur » Bernard Henry Levi.
Souvenez-vous qu’Israël a créé, financé, et armé le Hamas et son Cheikh Yassine comme par hasard quand Yasser Arafat allait obtenir un pays pour son peuple suite aux accords d’Oslo.
Tunisiens, Tunisiennes !
Au lendemain de la mort du Prophète Mohamed, la parole Divine de bonté et de clémence de cet homme a été falsifiée en une secte cruelle par des tribus sanguinaires d'Arabie soutenues par les hommes de Winston Churchill.
L’Islam de la Péninsule Arabique et des pays du Golfe est un Islam cruel n’ayant d’autre but que le maintien au pouvoir de régimes ayant signé des accords avec un occident dont la survie dépend d’un flot continu en hydrocarbures.
Ces mêmes tribus sont aujourd’hui soutenues par les Etats Unis et leur arsenal.
La démocratie dans le monde Arabe ne naitra que suite à une réforme de l’Islam qui ne peut se produire que dans des régimes autoritaires et laïques et qui prendra des siècles.
Ne tombez pas dans le piège fatal de la démocratie dans le monde Arabe !
La « démocratie » dans le monde Arabe est un enfer duquel vous ne reviendrez jamais !
Ne franchissez pas ses portes en or qui cachent la mort et la destruction !

F.M. Alias JOHN WAYNE
Ancien Elève au Collège Sadiki
Diplômé d'Histoire et de Sciences Politiques de l'Université Paris-Sorbonne.
Ancien Fonctionnaire aux Ministères des Affaires Etrangères et de l'Intérieur Tunisiens des gouvernements d'Habib Bourguiba et de Zine El Abidine Ben Ali.
Diplomate de carrière et spécialiste de la sécurité et du renseignement


Nouveau commentaire :

Actualités | International | Culture | Vidéo | Dossiers | Archives | Editorial | Amérique | Interview | Opinion | Qui sommes-nous ? | Maxime du jour | Portrait | Le Must




Suivez-nous
Facebook
Twitter
Google+
YouTube


Infos


Galerie
Robert Menard
Pierre Delval Waito
Rached GHANNOUCHI et Mustapha Ben Jaafar
Hamadi Jebali, Hédi Baccouche, Mohamed Ghannouchi
Ali Bennour s'attaque au Qatar
Je suis Charlie

Inscription à la newsletter